mk体育在线官网-MK体育(中国) mk体育在线官网-MK体育(中国) 政策法规 产业市场 节能技术 能源信息 宏观环境 会议会展 活动图库 资料下载 焦点专题 智囊团 企业库
政策法规  节能产业网 >> 政策法规 >> 通知公告 >> 正文
住建部关于印发《城镇污水处理工作考核暂行办法》的通知
来源:中国节能产业网 时间:2017/9/30 15:10:46 用手机浏览

发布时间:

2017-07-06

字      号:

建城[2017]143号

发布单位:

中华人民共和国住房和城乡建设部

政策分类:

环保

政策级别:

国家

省、自治区住房城乡建设厅,直辖市建委(市政管委、水务局),海南省水务厅,新疆生产建设兵团建设局:

为贯彻落实《国务院关于印发水污染防治行动计划的通知》(国发〔2015〕17号)要求,进一步加强城镇污水处理设施建设和运行监管,全面提升城镇污水处理效能,我部组织对《城镇污水处理工作考核暂行办法》(建城函〔2010〕166号)进行了修订。现将修订后的《城镇污水处理工作考核暂行办法》印发给你们,请认真执行。工作中如有问题,请与我部城市建设司联系。

中华人民共和国住房和城乡建设部

2017年7月6日

城镇污水处理工作考核暂行办法

 

第一条 为加强城镇污水处理设施建设和运行管理,推进污水“全收集、全处理”和达标排放,改善城镇水环境质量,依据《城镇排水与污水处理条例》《水污染防治行动计划》(国发〔2015〕17 号)等有关规定,制定本办法。

第二条 本办法适用于对城市和县城(以下简称城镇)污水处理设施建设、运行和管理工作考核。

第三条 住房城乡建设部负责对各省、自治区、直辖市城镇污水处理工作考核。

各省、自治区、直辖市人民政府城镇排水与污水处理主管部门(以下简称城镇排水主管部门)负责本行政区域城镇污水处理工作考核。

第四条 考核采取日常监管、现场核查和重点抽查相结合的方式。

第五条 考核指标主要为城镇污水处理效能、主要污染物削减效率、污泥处置、监督管理、进步鼓励 5 方面指标。考核结果采用百分制记分,并按季度进行通报。

第六条 按照各省(区、市)所在的降雨分区分别进行考核,具体考核方法见《城镇污水处理工作考核评分细则》(详见附件)。

第七条 对城镇污水处理效能、主要污染物削减效率、污泥处置、监督管理 4 方面考核指标进行评分排名,与上一年度同期同口径相比,总分、排名有进步的予以鼓励。

第八条 住房城乡建设部于每年 5 月底前,对上一年度全国城镇污水处理工作情况进行考核。各省、自治区、直辖市城镇排水主管部门于每年 1 月底前完成上一年度城镇污水处理工作自查报告并报送住房城乡建设部。自查内容除考核指标外,还应包括城镇污水处理设施建设规划编制和执行情况、城镇污水处理合同执行情况、监管制度落实、污水处理收费、污水处理水质监测、重大安全事故等情况。

第九条 对在考核工作中发现瞒报、谎报和造假的,取消考核成绩,并予以通报批评,对有关单位和人员依法依纪追究责任。

第十条 本办法由住房城乡建设部负责解释。

第十一条 本办法自印发之日起施行,原《城镇污水处理工作考核暂行办法》(建城函〔2010〕166 号)同时废止。

附件:城镇污水处理工作考核评分细则

附件
 

城镇污水处理工作考核评分细则

一、考核总分计算

考核指标包括:城镇污水处理效能、主要污染物削减效率、污泥处置、监督管理、进步鼓励 5 方面。考核采用百分制,考核总分为各项考核指标分值之和。

二、考核指标分值计算

(一)城镇污水处理效能(30 分)

1.污水处理率(15 分)

污水处理率

其中:

Q1:指统计区域内城镇污水厂处理总量;

Q2:指统计区域内其他设施污水处理量,按《中国城市建设统 计年鉴》中其他污水处理设施处理量的 80%进行计算;

Q:指上一年度同期城镇污水排放总量,按《中国城市建设统计年鉴》统计数据计算。

考虑到污水处理率统计的复杂性,可根据全国城镇污水处理率的实际情况,对本项指标最高得分作适当调整。本项得分超过 15 分时,按 15 分计。

2.污染物收集效能(15 分)

污染物收集效能得分 = (A × 0.2 + B × 0.5 + C × 0.1 + D × 0.1 + E × 0.1) × 15

   其中:
 

城镇人均污染物排放基准浓度,数据源自国家污染源普查结果

城镇人均污染物排放基准浓度,数据源自国家污染源普查结果。A、B、C、D、E 值大于 1 时,按 1 计。

(二)主要污染物削减效率(30 分)

依据“全国城镇污水处理管理信息系统”数据,污染物削减效率分值按不同污染物削减效率的得分总和计算。计算公式如下:

1. COD 削减效率(10 分)

COD 削减效率得分

COD 削减效率

其中:

A:指 COD 去除效率≥90%对应的污水处理总量;

B:指 80%≤COD 去除效率<90%对应的污水处理总量;

C:指 75%≤COD 去除效率<80%对应的污水处理总量;

D:指 70%≤COD 去除效率<75%对应的污水处理总量;

E:指 50%≤COD 去除效率<70%对应的污水处理总量;

F:指 COD 去除效率<50%对应的污水处理总量。

2. NH3-N 削减效率(8 分)

NH3-N 削减效率

其中:

A:指 NH3-N 去除效率≥95%对应的污水处理总量;

B:指 90%≤NH3-N 去除效率<95%对应的污水处理总量;

C:指 85%≤NH3-N 去除效率<90%对应的污水处理总量;

D:指 75%≤NH3-N 去除效率<85%对应的污水处理总量;

E:指 65%≤NH3-N 去除效率<75%对应的污水处理总量;

F:指 NH3-N 去除效率<65%对应的污水处理总量。

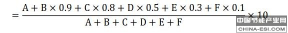
3. TN 削减效率(6 分)

TP 削减效率

其中:

A:指 TN 去除效率≥60%对应的污水处理总量;

B:指 50%≤TN 去除效率<60%对应的污水处理总量;

C:指 40%≤TN 去除效率<50%对应的污水处理总量;

D:指 30%≤TN 去除效率<40%对应的污水处理总量;

E:指 20%≤TN 去除效率<30%对应的污水处理总量;

F:指 TN 去除效率<20%对应的污水处理总量。

4. TP 削减效率(6 分)

TP 削减效率得分

TP

其中:

A:指 TP 去除效率≥80%对应的污水处理总量;

B:指 70%≤TP 去除效率<80%对应的污水处理总量;

C:指 60%≤TP 去除效率<70%对应的污水处理总量;

D:指 50%≤TP 去除效率<60%对应的污水处理总量;

E:指 TP 去除效率<50%对应的污水处理总量。

(三)污泥处置(15 分)

考核期内城镇污水处理厂污泥处置量依据“全国城镇污水处理管理信息系统”累计数据。

污泥处置

其中:

A:指污泥资源化利用的量,包括土地利用、建材利用;

B:指焚烧的量;

C:指达到卫生填埋标准并进行卫生填埋的量;

D:指其它处置(含应急处置)方式的量;

E:指不知去向的量。

(四)监督管理(20 分)

监督管理指标分值按“全国城镇污水处理管理信息系统”数据上报分值和水质化验管理分值加和计算。

1.数据上报管理(8 分)

数据上报管理得分=在建项目得分+运行项目得分
 

数据上报管理得分

其中,上报率依据“全国城镇污水处理管理信息系统”数据,在建项目得分、运行项目得分最小值为 0。

2.水质化验管理(12 分)

水质化验管理

A:指 COD 水质化验上报率;

B:指 BOD 水质化验上报率;

C:指 SS 水质化验上报率;

D:指 NH3-N 水质化验上报率;

E:指 TN 水质化验上报率;

F:指 TP 水质化验上报率。

其中,上报率依据“全国城镇污水处理管理信息系统”数据,取各指标项实报期数与应报期数之比。在专项检查、抽查中,发现上报数据存在弄虚作假现象的,每一项扣 4 分,直至将总分 20 分全部扣净。

(五)进步鼓励(5 分)

1.总得分鼓励(1 分)

本省(区、市)当期考核时,按(一)至(四)项得分之和与上一年度同期同口径相比,进步的得 1 分,相同的得 0.5 分,退步的不得分。

2.区域排名鼓励(2 分)

各省(区、市)在各自分区内进行考核排名,按(一)至(四)项得分之和的名次与上一年度同期同口径的排名相比,进步的得 2分,相同的得 1 分,退步的不得分。

按《中国水资源公报》年降水量将 31 省(市、区)划分为 4 个 区域,见下表。

年降水量

3.全国排名鼓励(2 分)

各省(区、市)在全国进行考核排名,按(一)至(四)项得分之和的名次与上一年度同期同口径的排名相比,进步的得 2 分,相同的得 1 分,退步的不得分。


分享到:
相关文章 iTAG:
节能环保:为40年发展注入绿色动力
煤电清洁改造进入收官阶段
国家发展改革委推进2018年煤炭中长期合同签订履行工作
国家发展改革委 国家能源局关于推进电力安全生产
国家能源局关于推进光伏发电“领跑者”计划实施和2017
关于印发《2017-2018年秋冬季建设系统施工现场扬尘治理
国家能源局部署党的十九大电力安全保障工作
中央环保督察组向四川移交第二十七批信访件355件
频道推荐
服务中心
微信公众号

CESI
关于本站
版权声明
广告投放
网站帮助
联系我们
网站服务
会员服务
最新项目
资金服务
园区招商
展会合作
mk体育在线官网-MK体育(中国)上线下相结合的一站式节能服务平台。
©2007-2019 CHINA-ESI.COM
鄂ICP备19009381号-2
节能QQ群:39847109
顶部客服微信二维码底部
扫描二维码关注官方公众微信